This study examined the implementation of a RAG-based AI teaching assistant in medical education across two consecutive academic cohorts and demonstrates a scalable, always-available AI support tailored to curricular contexts and students needs….
Author: admin
-

Japan’s first female prime minister doesn’t call herself a feminist — but the country needs her to tackle sexism in science
Sanae Takaichi is the first female prime minister of Japan.Credit: Tomohiro Ohsumi/Getty
Japan struggles with gender equity. It ranked 118th out of 148 countries in the 2025 Global Gender Gap Index. Against this backdrop, the election of a woman,…
Continue Reading
-

JUHCCR-v1: a database for hand-drawn electrical and electronics circuit component recognition
Roy, S., Bhattacharya, A., Sarkar, N., Malakar, S. & Sarkar, R. Offline hand-drawn circuit component recognition using texture and shape-based features. Multimed. Tools Appl. 79, 31353–31373 (2020).
Google…
Continue Reading
-

Deep bayesian neural networks for UWB phase error correction in positioning systems
Problem description
UWB multi-channel AOA estimation modeling
It is imperative to consider a linear array that contains \(M\) antennas, with array element spacing \(d\), carrier frequency \(f_{c}\), and wavelength \(\lambda = c/f_{c}\). The phase…
Continue Reading
-

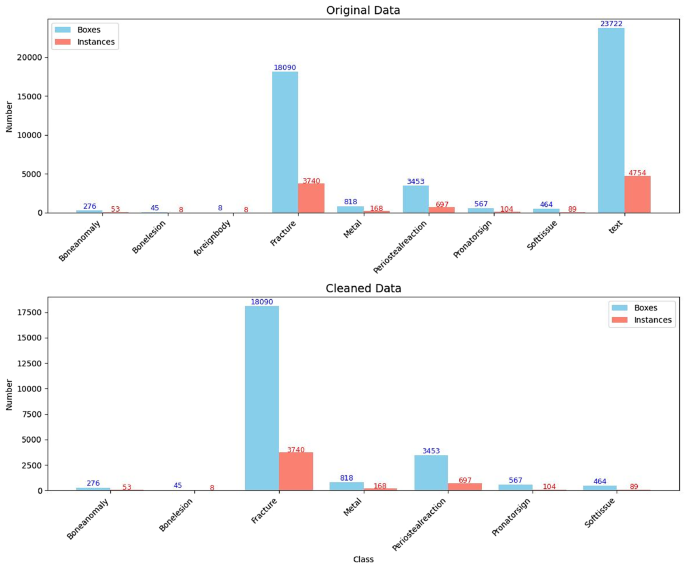
Artificial intelligence-based method for detecting wrist fractures in children
This section begins by presenting the dataset and the corresponding preprocessing procedures applied to ensure data quality and consistency. Subsequently, the architecture of the YOLO11 network is introduced, with a detailed description of the…
Continue Reading
-

Convergent evolution of a conserved molecular network underlies parenting and sociality
Costa, J. T. The Other Insect Societies (Harvard Univ. Press, 2006).
Royle, N. J., Smiseth, P. T. & Kölliker, M. The Evolution of Parental Care (Oxford Univ. Press, 2012).
Maciejewski, M. F. & Bell, A. M. Insights into parental care from studies…
Continue Reading
-

Integrated biostratigraphy of the Maastrichtian-Danian sequence in the southern Tethys with insights into paleoenvironmental implications
Integrated biostratigraphy of the Maastrichtian-Danian sequence in the southern Tethys with insights into paleoenvironmental implications
Continue Reading
-

Stabilisation of waterlogged archaeological wood: the analysis of structural and dimensional changes of different conservation methods using magnetic resonance imaging and X-ray micro-computed tomography
Singh, A. P., Kim, Y. S. & Chavan, R. R. Advances in understanding microbial deterioration of buried and waterlogged archaeological woods: a review. Forests 13, 394 (2022).
Google Scholar
Continue Reading
-

When will Africa have a Nobel prize in medicine?
African research saves millions of lives, from vaccine development to genomic surveillance and public-health interventions. Yet the continent has never produced a Nobel laureate in physiology or medicine who did the bulk of their prizewinning…
Continue Reading
-

Smart antenna with reconfigurable polarization for future generation of mm-wave communication
The proposed antenna is based on a square microstrip patch designed to operate in the millimeter-wave frequency band to provide circular polarization with electronically controllable sense at 28 GHz and linear…
Continue Reading
