Dadoura, M. H., Farahat, A. I. Z., Taha, M. R. & Elshaer, R. N. Enhancement of quasi-static compression strength for aluminum closed cell foam blocks shielded by aluminum tubes. Sci. Rep. 13, 6929 (2023).
Author: admin
-

This Frog Sings Like a Bird
New species of Gracixalus frogs have been popping up all over the place. Just in the last decade alone, the number of described species has more than doubled from 10 to 23. These “shrub frogs” in Southeast Asia are showing up as far west as…
Continue Reading
-

Rethinking AI’s role in survey research: from threat to collaboration
An artificial-intelligence bot can now pass 99.8% of attention-check questions in surveys (see Nature 650, 17; 2026). But this needn’t be a threat: these checks were invented to catch careless human respondents. AI did not create the data-quality…
Continue Reading
-

Planar Li deposition and dissolution enable practical anode-free pouch cells
Anode-free lithium metal batteries (AFLMBs), which are manufactured without anode active material, offer great potential for high-energy-density, low-cost energy storage. However, AFLMBs face a long-standing challenge of short lifespan due to the…
Continue Reading
-

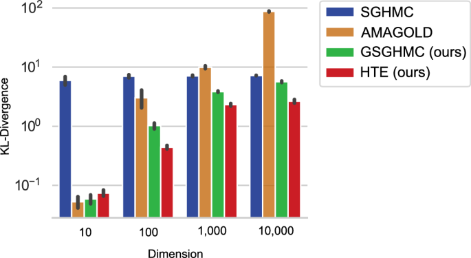
Reliable uncertainty estimates in deep learning with efficient Metropolis-Hastings algorithms
Alzubaidi, L. et al. Review of deep learning: concepts, CNN architectures, challenges, applications, future directions. J. Big Data 8, 53 (2021).
Google Scholar
…Continue Reading
-
Optimizing water rights allocation for the Hebei section of China’s South-to-North Water Diversion Middle Route Project using asymmetric game theory
Roque, F. S. & De Medeiros, J. D. F. Influence of water transfer between river basins on the operation of water systems in semi-arid regions. Water Resour. Manage. 39, 459–471 (2025).
Janjua,…
Continue Reading
-

Pushing the boundaries of autonomous biological discovery
Pushing the boundaries of autonomous biological discovery
Continue Reading
