Numerical model
Combining the concepts of cylindrical cavities and functionally gradient materials, a model comprising three layers of periodic cylindrical cavities embedded in viscoelastic media backed by steel plates is considered2, as shown in…

Combining the concepts of cylindrical cavities and functionally gradient materials, a model comprising three layers of periodic cylindrical cavities embedded in viscoelastic media backed by steel plates is considered2, as shown in…

We first briefly recap LES24, and then make an explicit connection between LES and physical charges. Finally, we briefly demonstrate how different global charge states can be encoded in the LES framework.
The total potential…

Optimization is a fundamental task in machine learning and deep learning models, where the goal is to minimize a loss function f(θ) with respect to the model parameters θ. Gradient-based optimization methods are widely employed for this…

As shown in Fig. 1 that our methodology consists of six stage. Data collection from the Kaggle AI competition (2021), where tagged photos of Egyptian banknotes were annotated with bounding boxes, is the first of six steps in the process. In…

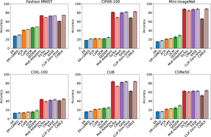
This section details a new method for adapter-based, task-free continual learning utilizing a policy optimization approach to decide tasks. First, we provide preliminaries for the method. After, we describe detecting negative inputs by…

To validate the effectiveness of the above assessment method, two financial services providers are evaluated in this paper. The first is a financial services provider specializing in financial investment and securities trading, whose services…

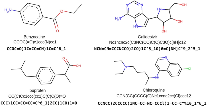
The significance of data representation becomes critical in the domain of data-assisted methodologies, such as DL. A variety of representations, such as SMILES, graphs, fingerprints, and three-dimensional models, provide…

The proposed approach as illustrated in Fig. 1 seeks to improve the detection and mitigation of DDoS attacks in VANET by deploying different strategies at different levels. The End-to-end model is manifested in Fig. 2 and the Pseudocode for the…

Consider a regression problem that relates I inputs and L outputs. The first step of an INN is to discretize the input domain in the I-dimensional Euclidean space into a mesh, which can be as general as an…

We focus our empirical analysis on four structurally diverse low- and middle-income countries (LMICs), namely, Kenya, Nigeria, Ghana, and South Africa. These countries were selected for three reasons. First, they exhibit…