This section presents a detailed description of the mathematical model of the quarter car active suspension system, the controller structures, and the parameter optimization process used in this study. The system was modeled using the…
Category: 7. Maths
-

Advanced transformer with attention-based neural network framework for precise renal cell carcinoma detection using histological kidney images
This paper presents an ATANNF-IDRCC model. This paper aims to develop an accurate and automated model for detecting and ranking RCC using kidney histopathology images. To achieve this, the ATANNF-IDRCC model comprises three distinct stages: image…
Continue Reading
-

Dual chain dynamic hypergraph convolution network for 3D human pose estimation
As shown in Fig. 2, the proposed Dual Chain Dynamic Hypergraph Convolution Network (DCD-HCN) firstly embeds the 2D coordinates of skeleton joints into a high-dimensional space using node embedding layers, and then stacks multiple SPblocks to…
Continue Reading
-

A comparative performance analysis of fully homomorphic and attribute-based encryption schemes
Simulation setup and experiment scheme
The effectiveness of each experiment has been assessed using varying numbers of nodes, including 100, 125, 150, 175, and 200. NS-2 simulation is used, and the code is written in C + + . For safe and…
Continue Reading
-

Application effect of PMSM current segmented control method based on DM-MPCC algorithm
PMSM-CSC method based on MPCC algorithm
With the development of technology, the requirements for the performance and control accuracy of PMSM are constantly increasing. The selection and implementation of PMSM current control mode directly…
Continue Reading
-

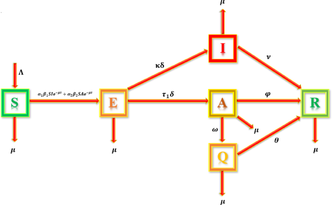
Transmission dynamics of mumps epidemic model through stochastic analysis with delay effect
The system of stochastic delay differential equations (SDDEs) is a mathematical model that describes the evolution of a set of variables over time, where the equations involve both deterministic time delays and stochastic (random) components….
Continue Reading
-

A rapid DAS signal classification algorithm based on VMD and IMF power spectrum Gaussian fitting
Data acquisition and collection
The DAS system architecture is shown in Fig. 5. First, the narrow-linewidth laser outputs continuous light. The continuous light is transformed into optical pulses by the AOM modulator, amplified by the EDFA, and…
Continue Reading
-

Performance analysis of robotic arm visual servo system based on BFS-canny image edge detection algorithm
To achieve high-speed extraction of image features in the RAVS system, this study designs a high-speed extraction method based on the BFS-Canny-IED algorithm for the image feature extraction part, and constructs the RAVS system.
Theoretical…
Continue Reading
-

A 2-dimension linguistic Pythagorean fuzzy decision-making method with application to unmanned aerial vehicle contribution assessment
In this section, a series of foundational aggregation operators for 2-dimension linguistic Pythagorean fuzzy variables are introduced. The operators chosen-namely the weighted averaging and weighted geometric operators-are fundamental to fuzzy…
Continue Reading
-

A meta-learning framework to mitigate negative transfer in transfer learning applicable to drug design
Standard transfer learning leverages knowledge from a source domain with abundant data to improve learning in a low-data target domain. As discussed above, performance in the target domain can be compromised if the two data domains are not…
Continue Reading
