Implementation overview
The Integrated Knowledge-Enhanced Decision Support implementation had to use a careful compromise between theory and engineering constraints. Many architecture iterations gradually appeared that is, we have combined…

The Integrated Knowledge-Enhanced Decision Support implementation had to use a careful compromise between theory and engineering constraints. Many architecture iterations gradually appeared that is, we have combined…

The proposed laser communication system integrates a high-power laser diode, an optical receiver with a high-resolution camera, a GPU-based processing unit for real-time image processing, and a servo motor-based control mechanism for dynamic beam…

In this section, the network model, energy consumption radio model and the multi-objective fitness function-based CHs selection process utilized during the implementation of the proposed EEQIAHBOA-based cluster routing framework is presented.
The construction of a scientific and comprehensive evaluation index system for new quality productive forces in Henan Province necessitates adherence to several foundational principles that…

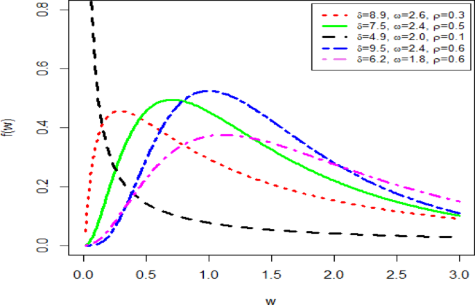
Here, we check the versatility and superiority of our newly developed distribution by analyzing three real data sets within the realm of the biomedical sector. We have implemented the proposed distribution on these datasets and then evaluated its…

We analyze the sufficient descent property and prove the global convergence of the proposed method in this section. The following lemma shows that the search direction always satisfies the sufficient descent property independent of line search…

Chen, Y. et al. SoulChat: Improving LLMs’ empathy, listening, and comfort abilities through fine-tuning with multi-turn empathy conversations. In Findings of the Association for Computational Linguistics: EMNLP 2023 (eds Bouamor, H. et al.)…
Huys, Q. J. M., Maia, T. V. & Frank, M. J. Nat. Neurosci. 19, 404–413 (2016).
Google Scholar
Eshel, N. et al. Nature 525, 243–246 (2015).
Google Scholar
…

The architecture of the proposed DeepLab+IFIT strategy is illustrated in Fig. 1, which is composed of an IF branch and an IT branch for high-quality and noisy EO images, respectively. Lux is a value measuring illuminance, whose values are…

L.M.W. declares US patent applications 10/034,645 and 15/820,338: Systems and methods for detecting complex networks in MRI image data. T.W. is a founding shareholder and advisor…